Release time :2023-03-10
Source:support@yingchitech.com
Scan:2159
With the continuous development of neuroscience and technology, magnetic stimulation technology has become a powerful tool for the treatment of mental and neurological diseases. However, the efficacy of TMS varies greatly among different patients. Therefore, how to improve the therapeutic effect of TMS device has always been a hot issue in the medical field. This paper mainly introduces the application of contextual precision.
Transcranial magnetic stimulation (TMS) is a non-invasive neuromodulation technology. The time-varying pulsed magnetic field can penetrate the skull non-invasively, act on the central nervous system, generate induced currents, and cause a series of physiological and biochemical reactions, thus affecting brain metabolism and neuronal excitability, so as to improve and treat mental and neurological diseases.

TMS device can be used for the treatment and diagnosis of diseases. In terms of disease diagnosis, TMS is used as a clinical research tool to assess cortical processing time, cortical connectivity, cortical inhibition, excitability, and cortical interactions. In terms of clinical treatment of diseases, TMS mainly excites or inhibits local cerebral cortex functions by changing the stimulation frequency, and treats diseases by bidirectionally regulating the balance between brain excitation and inhibition functions. It is mainly used for the treatment of a variety of psychiatric, neurological, neurological rehabilitation and children's brain diseases.
The clinical applications of repetitive transcranial magnetic stimulation in psychiatry mainly include: depression, anxiety, obsessive-compulsive disorder, schizophrenia, bipolar disorder and post-traumatic stress disorder. Clinical applications in the field of Neurology mainly include: Parkinson's disease, Alzheimer's disease, consciousness disorder, epilepsy, multiple sclerosis (lower limb spasm), etc. Clinical applications in the field of rehabilitation mainly include post-stroke dyskinesia, post-stroke aphasia, dysphagia, lateral neglect, fibromyalgia and so on. The Clinical applications in the field of children's rehabilitation mainly include: autism, cerebral palsy, attention deficit hyperactivity disorder, Tourette's syndrome, language retardation, etc.
With the continuous development of neuroscience and technology, brain stimulation devices are attracting more and more attention, especially TMS devices. Magnetic stimulation technology has become a powerful tool for the treatment of mental and neurological diseases. However, the efficacy of TMS varies greatly among different patients, which may be related to the active state of the patient's neural network. Therefore, how to improve the therapeutic effect of TMS has always been a hot issue in the medical field.
Extending the concept of precision psychiatry to precision neurostimulation, we can adapt the stimulation to individual patient needs by achieving specificity in the key elements of dosing (spatial, temporal, and contextual). Spatial precision can be achieved through individual image guidance, electric field modeling of the current induced in the brain, and focal coils/electrodes. Temporal precision can be achieved by optimizing the pulse waveform, frequency, and train characteristics and by coupling it to endogenous oscillations via closed-loop techniques. Contextual precision can be achieved by controlling brain state during stimulation via online cognitive task performance, synchronizing to endogenous neural oscillations, or combination therapies such as simultaneous cognitive behavioral therapy and pharmacotherapy. This paper mainly introduces the application of contextual precision.

rTMS can be administered using two different paradigms, “online” and “offline”. With offline rTMS, task performance is assessed before and after rTMS administration, during which series of pulse trains are applied over a period typically lasting 10 to 20 minutes. The cumulative effect of rTMS is a temporary modulation of cortical excitability in the targeted cortical region and its associated networks, which affects post-rTMS task performance as compared to that at pre-rTMS baseline. With online rTMS, the stimulation is applied at discrete time points while subjects are engaged in a cognitive task; and rather than looking for cumulative effects, the immediate effect on behavior is assessed.
Beynel, L. and Colleagues[1] tested the capacity to enhance working memory manipulation with online repetitive transcranial magnetic stimulation in healthy young and older adults. Online high frequency (5Hz) repetitive transcranial magnetic stimulation was applied over the left dorsolateral prefrontal cortex to test the hypothesis that active repetitive transcranial magnetic stimulation would lead to significant improvements in memory recall accuracy compared to sham stimulation, and that these effects would be most pronounced in working memory manipulation conditions with the highest cognitive demand in both young and older adults. Repetitive transcranial magnetic stimulation was applied while participants were performing a delayed response alphabetization task with three individually-titrated levels of difficulty. As no accuracy differences were found between young and older adults, the results from both groups were collapsed. Subsequent analyses revealed that active stimulation significantly increased accuracy relative to sham stimulation, but only for the hardest condition. These results point towards further investigation of repetitive transcranial magnetic stimulation for memory enhancement focusing on high difficulty conditions as those most likely to exhibit benefits.
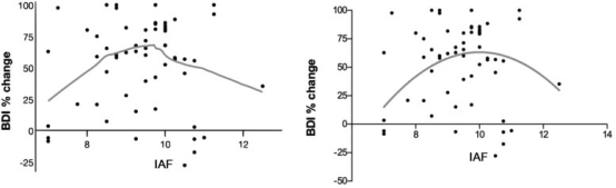
Contextual precision can be achieved by controlling the brain state during stimulation synchronously with endogenous neural oscillation. In 2019, Harvard Hospital of the United States published an article that the mental disorders of patients with first-episode mental disorders were related to abnormal endogenous nerve oscillations in the human body. It is suggested that at the time of the first attack of mental disease, there are multiple connectivity disorders in the model network of cortex - cortex and cortex - thalamus[2]. The degree of internal oscillation resonance is coupled with the rhythm of external driving force, and depends on the amplitude (intensity) and frequency of external driving force. The closer the driving force is to the internal frequency, the more likely the resonance is to occur. The stronger the resonance is, the stronger the effect of neural plasticity is. In the same year, the study of the University of California, Los Angeles showed that when using rTMS with a stimulation frequency of 10 Hz, if the patient's alpha peak frequency (IAF) value is closer to 10 Hz, the more depressive symptoms will be improved, which suggests that setting rTMS stimulation frequency based on individual neural oscillation may better improve depressive symptoms than using traditional fixed high frequency paradigm[3].

Only in the 10Hz rTMS stimulation group, the convergence value of IAF and 10Hz was significantly negatively correlated with the symptom improvement rate. The curve fitting model showed that there was a quadratic function relationship, with the peak at 10Hz IAF.
YINGGHI provides a wireless dry electrode EEG system, which can automatically calculate the alpha peak frequency (IAF) and guide the rTMS treatment frequency after 3 minutes of closed eye rest EEG examination.

Automatic real-time display of alpha peak frequency (IAF) to guide rTMS treatment
In the treatment of clinical diseases, TMS technology combined with drug therapy, behavioral therapy and other methods may have a better effect. Cao, P. et al.[4] explored the efficacy of transcranial magnetic stimulation combined with drugs on attention deficit hyperactivity disorder. The subjects were divided into rTMS group, ATX group (atomoxetine), and the combination of rTMS and ATX group. The results showed that the above three groups improved attention deficit hyperactivity disorder, but the combination of rTMS and ATX group had greater improvement in attention deficit and hyperactivity. It shows that the combination of rTMS and drugs has significant advantages.
Combining the use of rTMS with behavioral therapy is another promising avenue of research. Brain stimulation devices is more effective—and generates more profound circuit changes—in neural circuits that are already active. Once a network involved in a given illness is singled out, if a particular set of neurons within it is activated via a behavioral therapy, then that neural system that is already therapeutically active can be specifically targeted for additional modulation by brain stimulation devices. Chung, C. L., et al.[5] explored whether priming with 1 or 25Hz repetitive transcranial magnetic stimulation (rTMS) will enhance the benefits from treadmill training up to 3 months post intervention in people with Parkinson disease (PD).
Fifty-one participants with PD were randomized to receive 12 sessions of rTMS (25Hz, 1Hz, or sham) followed by treadmill training. All participants were assessed at baseline and 1 day, 1 month, and 3 months post-intervention. Primary outcome was fastest walking speed, and secondary outcomes were timed up-and-go test (TUG), dual-task TUG (DT-TUG), motor section of the Movement Disorder Society-Unified Parkinson's Disease Rating Scale (MDS-UPDRS-III). It was found that, The 1 and 25Hz rTMS groups produced a greater improvement in fastest walking speed at 1 day and 3 months postintervention than the sham group. Only the 1 and 25Hz rTMS groups sustained the improvements in TUG, and had a significant improvement in DT-TUG and MDS-UPDRS-III for up to 3 months. The results show that priming with 1 and 25Hz rTMS can augment the benefits of treadmill training and lead to long-term motor improvement up to 3 months post-intervention.
[1] Beynel, L. , Davis, S. W. , Crowell, C. A. , Hilbig, S. A. , Lim, W. , & Nguyen, D. , et al. (2019). Online repetitive transcranial magnetic stimulation during working memory in younger and older adults: a randomized within-subject comparison. PLoS ONE, 14(3).
[2] Murphy, M. , & ?ngür, Dost. (2019). Decreased peak alpha frequency and impaired visual evoked potentials in first episode psychosis. NeuroImage: Clinical, 22.
[3] Roelofs, C. L. , Krepel, N. , Corlier, J. , Carpenter, L. , & Arns, M. . (2020). Individual alpha frequency proximity associated with repetitive transcranial magnetic stimulation outcome: an independent replication study from the icon-db consortium. Clinical Neurophysiology, 132(2).
[4] Cao, P. , Xing, J. , Cao, Y. , Cheng, Q. , Sun, X. , & Kang, Q. , et al. (2018). Clinical effects of repetitive transcranial magnetic stimulation combined with atomoxetine in the treatment of attention-deficit hyperactivity disorder. Neuropsychiatric Disease and Treatment, Volume 14, 3231-3240.
[5] Chung, C. L. , Mak, M. K. , & Hallett, M. . (2020). Transcranial magnetic stimulation promotes gait training in parkinson disease. Annals of Neurology.